5+ Argon Dot Diagram
File Electron Shell 018 Argon Png Wikimedia Commons

Element Charges Chart How To Know The Charge Of An Atom
燃料化学学报 中英文
Lewis Structure Argon Ar Stock Vector Royalty Free 2114799260 Shutterstock
Synthesis Of Multi 1 10 Phenanthroline Ligands With 1 3 Phenylene Linkers And Their Lithium Complexes Dietrich Buchecker 2005 Chemistry A European Journal Wiley Online Library
Are Argon Gas Filled Insulated Windows Worth The Cost Glass Com
Ch104 Chapter 3 Ions And Ionic Compounds Chemistry
1123 Series Pattern Plate 1 X 5 Hole 48 X 144mm Gobilda Gb 1123 0048 0144 Core Electronics Australia
Full Article Investigation Of The Arsenic V Retention Performance Of The Nano Sorbent M Taca Synthesized By Click Chemistry
Underpinning The Use Of Indium As A Neutron Absorbing Additive In Zirconolite By X Ray Absorption Spectroscopy Scientific Reports
Diagram Representation Of The Element Argon Vector Image
Applied Sciences Free Full Text Complex Research On Amorphous Vanadium Oxide Thin Films Deposited By Gas Impulse Magnetron Sputtering
Chemosensors Free Full Text Gas Sensing Properties Of Cuwo4 Wo3 N N Heterojunction Prepared By Direct Hydrolysis Of Mesitylcopper I On Wo3 Middot 2h2o Nanoleaves
Electron Configuration For Carbon C
Electron Configurations
A Xps Spectra Of W4f In Wo 3 Thin Film Surfaces After Ar Plasma Download Scientific Diagram
0 5 M 0 5 M Afm Images Showing The Morphology Of Ta2o5 Surfaces Download Scientific Diagram
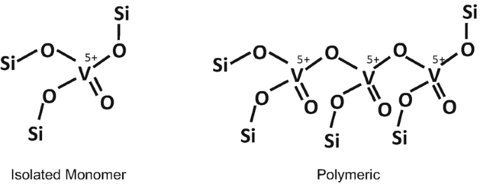
Structure And Reactivity Of Zeolites Containing Group Five Elements V Nb Ta Springerlink